Write

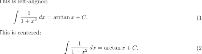
Latex - center equation

Latex - center equation
  1. How do you center an equation in latex?
  2. How do I center a split equation in latex?
  3. How do you do equations in latex?
  4. How do you write in the middle of a page in latex?
  5. How do you write an equation left in latex?
  6. How do you write percentage in latex?
  7. How do you fit a long equation in LaTeX?
  8. How do you start a new paragraph in LaTeX?
  9. How will you write a is very much greater than B?
  10. How do you write limits in latex?
  11. How do you write divided in latex?
  12. How do I write denominators in latex?

How do you center an equation in latex?

Instead of centering you may consider to align all equations at the equal sign and center the whole multiline environment. For this, use the align or align* environment, see the amsmath user's guide (or type texdoc amsldoc at the command prompt). In any case, use amsmath .

How do I center a split equation in latex?

amsmath | Center split Equation

  1. Use the multline environment intstead of equation; this will put the first line left-aligned and the second line right-aligned.
  2. Use the split environment with align symbols at the beginning of the line (actually, put them wherever you want the equations to line up)

How do you do equations in latex?

The equation and align environment

  1. \begindocument \beginequation* 1 + 2 = 3.
  2. \endequation* \beginequation* 1 = 3 - 2.
  3. \endequation* \beginalign* 1 + 2 &= 3\\

How do you write in the middle of a page in latex?

Placing text and a graphic dead center on a page

  1. \documentclass[a4paper,10pt]article
  2. \begindocument
  3. \vspace*\fill
  4. \begingroup.
  5. \centering.
  6. \endgroup.
  7. \vspace*\fill
  8. \enddocument

How do you write an equation left in latex?

  1. Or you could use the fleqn package option if you want all equations flush left. Eg: \usepackage[fleqn]amsmath . – ...
  2. @Thruston I was just editing my answer to add this possibility! – ...
  3. @LudovicC. ...
  4. This did not result in a left-align for me. ...
  5. If option 1 doesn't work for you, remember to add the && to the end of the line.

How do you write percentage in latex?

The character sequence \% generates a percent (%) sign.

How do you fit a long equation in LaTeX?

Fit a very long Equation into the Page

  1. \beginequation
  2. \labeleq:u1
  3. \endequation

How do you start a new paragraph in LaTeX?

  1. Even though the default formatting in LaTeX is fine, sometimes we need to change some elements. ...
  2. To start a new paragraph in LaTeX, as said before, you must leave a blank line in between. ...
  3. Paragraphs in LaTeX are fully justified, i.e. flush with both the left and right margins.

How will you write a is very much greater than B?

The same is true for "not less than" and a ≮ b. The notation a ≠ b means that a is not equal to b, and is sometimes considered a form of strict inequality. ... The notation a ≫ b means that a is much greater than b.

How do you write limits in latex?

How to write LateX Limits?
...
Latex limit.

DefinitionLatex codeResult
Limit at α$\lim_x \to \alpha f(x)$limx→αf(x)
Inf$\inf_x > sf(x)$infx>sf(x)
Sup$\sup_x \in \mathbbRf(x)$supx∈Rf(x)
Max$\max_x \in \[a,b\]f(x)$maxx∈[a,b]f(x)

How do you write divided in latex?

The symbol ± is written using the code \pm in LaTeX. To write a fraction, you use the code \fracexpression in the numeratorexpression in the denominator . Formulas that appear in text are called inline.
...
Arithmetics.

FormulaLaTeX-code
n×mn\times m
±2\pm 2
2÷32\div 3
23\frac23

How do I write denominators in latex?

As you may have guessed, the command \frac12 is the one that displays the fraction. The text inside the first pair of braces is the numerator and the text inside the second pair is the denominator. Also, the text size of the fraction changes according to the text around it. You can set this manually if you want.

I am unable to add advertisements inside the articles of my theme, whenever I do embeds are not working
How do I add ads within my post content in WordPress? Do YouTube embeds have ads? Do ads show on embedded videos? How do you add ads to posts? How do ...
How to take product category into account for WooCommerce product search results
How do I display a specific category product in WooCommerce? How do I customize search results in WooCommerce? How do I enable product search in WooCo...
How can I add the WooCommerce Billing Address to emails that ARE NOT related to an order? [closed]
How do I change my billing information in WooCommerce? How do I enable shipping address in WooCommerce? How do I add a custom field to the billing and...